100% satisfaction guarantee Immediately available after payment Both online and in PDF No strings attached 4.6 TrustPilot
logo-home
Exam (elaborations)

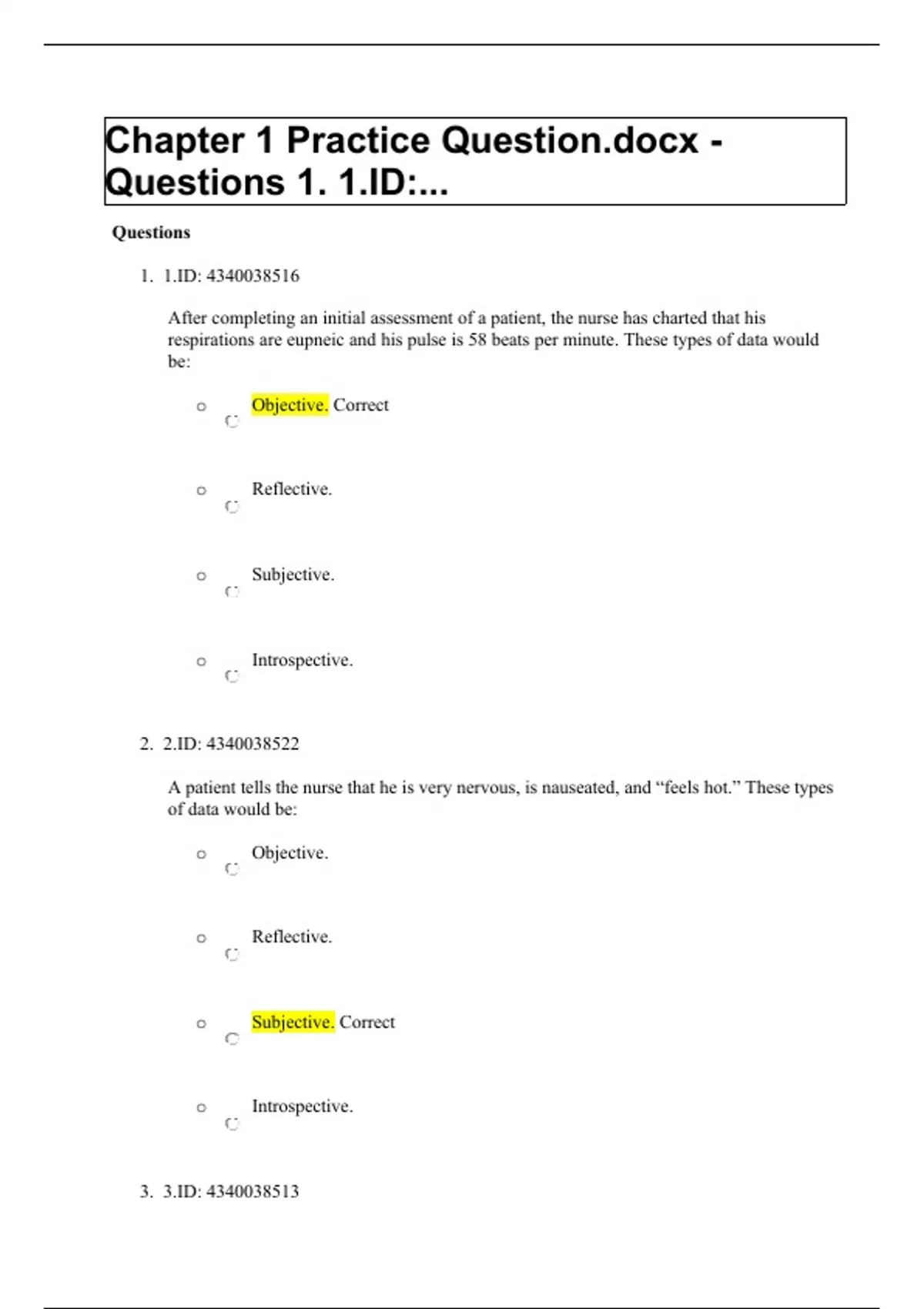
HEALTH ASS NR304 Chapter 1 Practice Question.docx - Questions 1. 1.ID:...

Rating
-
Sold
-
Pages
15
Grade
A+
Uploaded on
05-03-2024
Written in
2023/2024

HEALTH ASS NR304 Chapter 1 Practice Q - Questions 1. 1.ID:... HEALTH ASS NR304 Chapter 1 Practice Q - Questions 1. 1.ID:... HEALTH ASS NR304 Chapter 1 Practice Q - Questions 1. 1.ID:...

Institution
HEALTH ASS NR304
Course
HEALTH ASS NR304









Whoops! We can’t load your doc right now. Try again or contact support.

Written for

Institution
HEALTH ASS NR304
Course
HEALTH ASS NR304

Document information

Uploaded on
March 5, 2024
Number of pages
15
Written in
2023/2024
Type
Exam (elaborations)
Contains
Questions & answers

Subjects

Get to know the seller

Seller avatar
Reputation scores are based on the amount of documents a seller has sold for a fee and the reviews they have received for those documents. There are three levels: Bronze, Silver and Gold. The better the reputation, the more your can rely on the quality of the sellers work.
newsolutions Chamberlain College Of Nursing
View profile
Follow You need to be logged in order to follow users or courses
Sold
237
Member since
4 year
Number of followers
177
Documents
5473
Last sold
1 week ago
I have Accounting, Finance, Statistics, Computer Science, Nursing, Chemistry, Biology And All Other Subjects A+ solutions

Here to offer the best and latest study materials and exams.Achieve better grades with my excellent work.Welcome

4.1

48 reviews

5
28
4
6
3
9
2
2
1
3

Trending documents

Recently viewed by you

Why students choose Stuvia

Created by fellow students, verified by reviews

Quality you can trust: written by students who passed their tests and reviewed by others who've used these notes.

Didn't get what you expected? Choose another document

No worries! You can instantly pick a different document that better fits what you're looking for.

Pay as you like, start learning right away

No subscription, no commitments. Pay the way you're used to via credit card and download your PDF document instantly.

Student with book image

“Bought, downloaded, and aced it. It really can be that simple.”

Alisha Student

Frequently asked questions