100% tevredenheidsgarantie Direct beschikbaar na je betaling Lees online óf als PDF Geen vaste maandelijkse kosten 4.2 TrustPilot
logo-home
Overig

Statistics Assignment 2

Beoordeling
-
Verkocht
-
Pagina's
8
Geüpload op
09-05-2023
Geschreven in
2022/2023

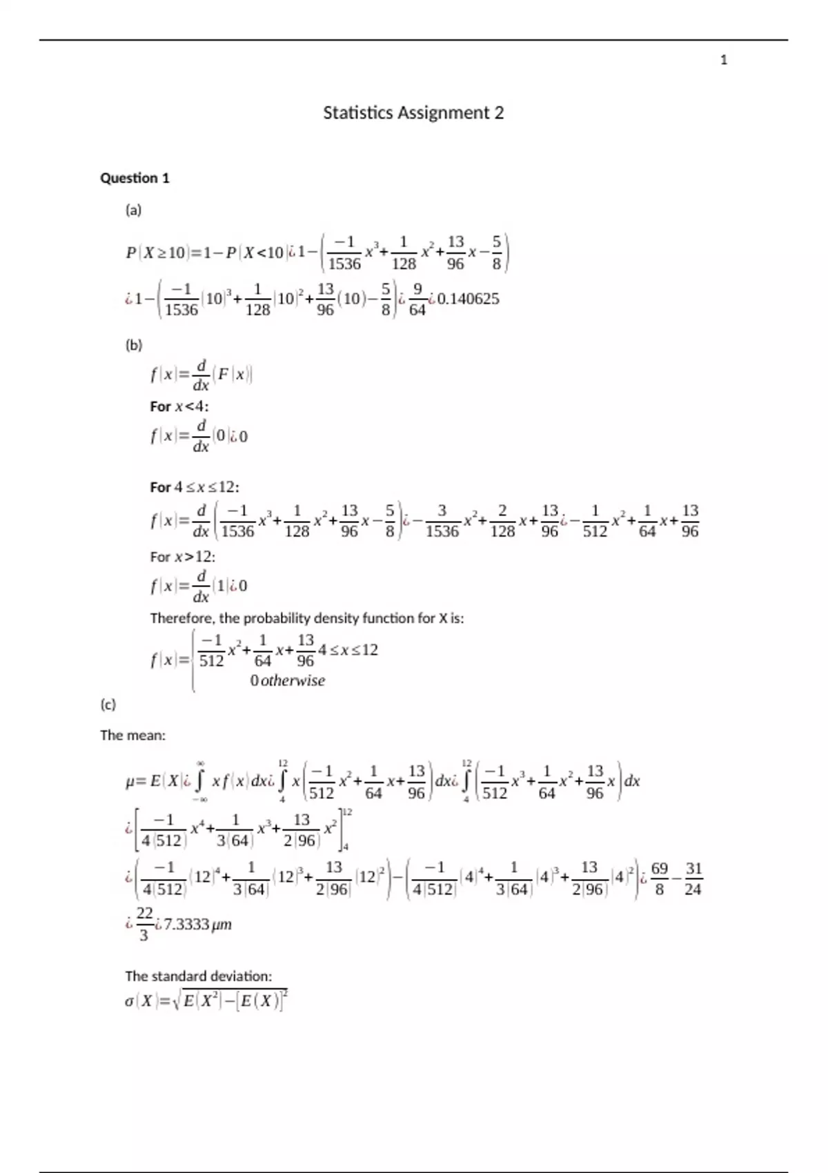
P(X≥10)=1-P(X<10) =1-(-1/1536 x^3+1/128 x^2+13/96 x-5/8) =1-(-1/1536 (10)^3+1/128 (10)^2+13/96(10)-5/8) =9/64 =0. f(x)=d/dx (F(x)) For x<4: f(x)=d/dx (0) =0

Instelling
Vak









Oeps! We kunnen je document nu niet laden. Probeer het nog eens of neem contact op met support.

Geschreven voor

Instelling
Vak

Documentinformatie

Geüpload op
9 mei 2023
Aantal pagina's
8
Geschreven in
2022/2023
Type
Overig
Persoon
Onbekend

Onderwerpen

Voorbeeld van de inhoud

1


Statistics Assignment 2


Question 1

(a)

P ( X ≥10 )=1−P ( X <10 )¿ 1− ( 1536
−1
x+
1
128
x + x− )
13
96
5
8
3 2




¿ 1−( ( 10 ) + (10)− )¿ ¿ 0.140625
−1 1 3 13 25 9
( 10 ) +
1536 128 96 8 64

(b)
d
f ( x )= ( F ( x ))
dx
For x <4 :
d
f ( x )= ( 0 )¿ 0
dx

For 4 ≤ x ≤12 :

f ( x )=
dx 1536 (
d −1 3 1 2 13
x+
128
5
x + x − ¿−
96 8
3
1536
x 2+
2
128 ) 13
x + ¿−
1 2 1
96 512
x + x+
64
13
96
For x >12:
d
f ( x )= ( 1 ) ¿ 0
dx
Therefore, the probability density function for X is:


{
−1 2 1 13
x + x+ 4 ≤ x ≤12
f ( x )= 512 64 96
0 otherwise
(c)

The mean:
∞ 12 12
μ= E ( X )¿ ∫
−∞
(
x f ( x ) dx¿ ∫ x
4
−1 2 1
512
x + x+
64
13
96
dx¿ ∫
4 512
)
−1 3 1 2 13
(
x + x + x dx
64 96 )
[ ]
12
−1 1 13 2
¿ x4 + x 3+ x
4 (512 ) 3 ( 64 ) 2 ( 96 ) 4


¿
(
−1
4 ( 512 )
( 12 )4 +
1
3 ( 64 )
( 12 )3+
13
2 ( 96 )
(12 )2 −
)(
−1
4 ( 512 )
( 4 ) 4+
1
3 ( 64 )
( 4 )3 +
13
2 ( 96 ) )
( 4 )2 ¿ 69 − 31
8 24
22
¿ ¿ 7.3333 μm
3

The standard deviation:

σ ( X )= E ( X ) − [ E ( X ) ]
2 2

, 2


∞ 12 12
E ( X ) =∫ x f ( x ) dx¿ ∫ x
2 2

−∞
2

4
( −1 2 1
512
x + x+
64
13
96
dx¿ ∫
4
)
512 (
−1 4 1 3 13 2
x + x + x dx
64 96 )
[ ]
12
−1 5 1 13 3
¿ x+ x4 + x
5 ( 512 ) 4 ( 64 ) 3 ( 96 ) 4


¿
(−1
5 ( 512 )
( 12 )5 +
1
4 ( 64 )
( 12 )4 +
13
3 ( 96 )
( 12 )3 −
−1
)(
5 (512 )
( 4 ) 5+
1
4 ( 64 )
( 4 )4 +
13
3 ( 96 ) )
( 4 )3 ¿ 309 − 157
5 45
2624
¿
45
Therefore:


√ ( )
2
2624 22 ≈ 2.1292

σ ( X )= E ( X ) −[ E ( X ) ] ¿
2 2

45

3




Question 2

(a)

P ( X >58 ) =0.24

P ( X >58 ) =P Z > ( 58−μ
σ )
P Z>( 58−μ
σ )
=0.24¿ 1−P Z ≤
58−μ
σ ( )
P Z≤( 58−μ
σ )
=1−0.24 ¿ 0.76

The Z score for which cumulative probability is 0.76 is:0.7063

58−μ
0.7063=
σ
μ+0.7063 σ =58(2.1)


P ( X >24 )=0.87

P Z>( 24−μ
σ )
=0.87¿ 1−P Z ≤
24−μ
σ ( )
P Z≤( 24−μ
σ )
=1−0.87¿ 0.13

The Z score for which cumulative probability is 0.13 is:−1.1264
$15.99
Krijg toegang tot het volledige document:

100% tevredenheidsgarantie
Direct beschikbaar na je betaling
Lees online óf als PDF
Geen vaste maandelijkse kosten

Maak kennis met de verkoper
Seller avatar
anneguda

Maak kennis met de verkoper

Seller avatar
anneguda Kalimoni
Volgen Je moet ingelogd zijn om studenten of vakken te kunnen volgen
Verkocht
0
Lid sinds
2 jaar
Aantal volgers
0
Documenten
9
Laatst verkocht
-

0.0

0 beoordelingen

5
0
4
0
3
0
2
0
1
0

Recent door jou bekeken

Waarom studenten kiezen voor Stuvia

Gemaakt door medestudenten, geverifieerd door reviews

Kwaliteit die je kunt vertrouwen: geschreven door studenten die slaagden en beoordeeld door anderen die dit document gebruikten.

Niet tevreden? Kies een ander document

Geen zorgen! Je kunt voor hetzelfde geld direct een ander document kiezen dat beter past bij wat je zoekt.

Betaal zoals je wilt, start meteen met leren

Geen abonnement, geen verplichtingen. Betaal zoals je gewend bent via Bancontact, iDeal of creditcard en download je PDF-document meteen.

Student with book image

“Gekocht, gedownload en geslaagd. Zo eenvoudig kan het zijn.”

Alisha Student

Veelgestelde vragen