100% de satisfacción garantizada Inmediatamente disponible después del pago Tanto en línea como en PDF No estas atado a nada 4.2 TrustPilot
logo-home
Examen

CRPC Exam 2026/2027 | Complete Verified Questions and Answers | Latest Updated CRPC Exam Q&A | Based on Past Exam Trends and Frequently Tested Topics

Puntuación
-
Vendido
-
Páginas
17
Grado
A+
Subido en
01-01-2026
Escrito en
2025/2026

This comprehensive study resource covers the CRPC Exam for the 2026/2027 academic year, featuring verified questions and accurate answers developed using historical CRPC exam patterns, commonly searched exam topics, and frequently tested concepts. The material reflects real exam-style questions designed to support effective preparation, revision, and exam confidence. Ideal for students and professionals preparing for CRPC certification, assessments, or retakes, this resource aligns with current CRPC curriculum standards and exam expectations.

Mostrar más Leer menos
Institución
CRPC
Grado
CRPC










Ups! No podemos cargar tu documento ahora. Inténtalo de nuevo o contacta con soporte.

Escuela, estudio y materia

Institución
CRPC
Grado
CRPC

Información del documento

Subido en
1 de enero de 2026
Número de páginas
17
Escrito en
2025/2026
Tipo
Examen
Contiene
Preguntas y respuestas

Temas

  • crpc exam

Vista previa del contenido

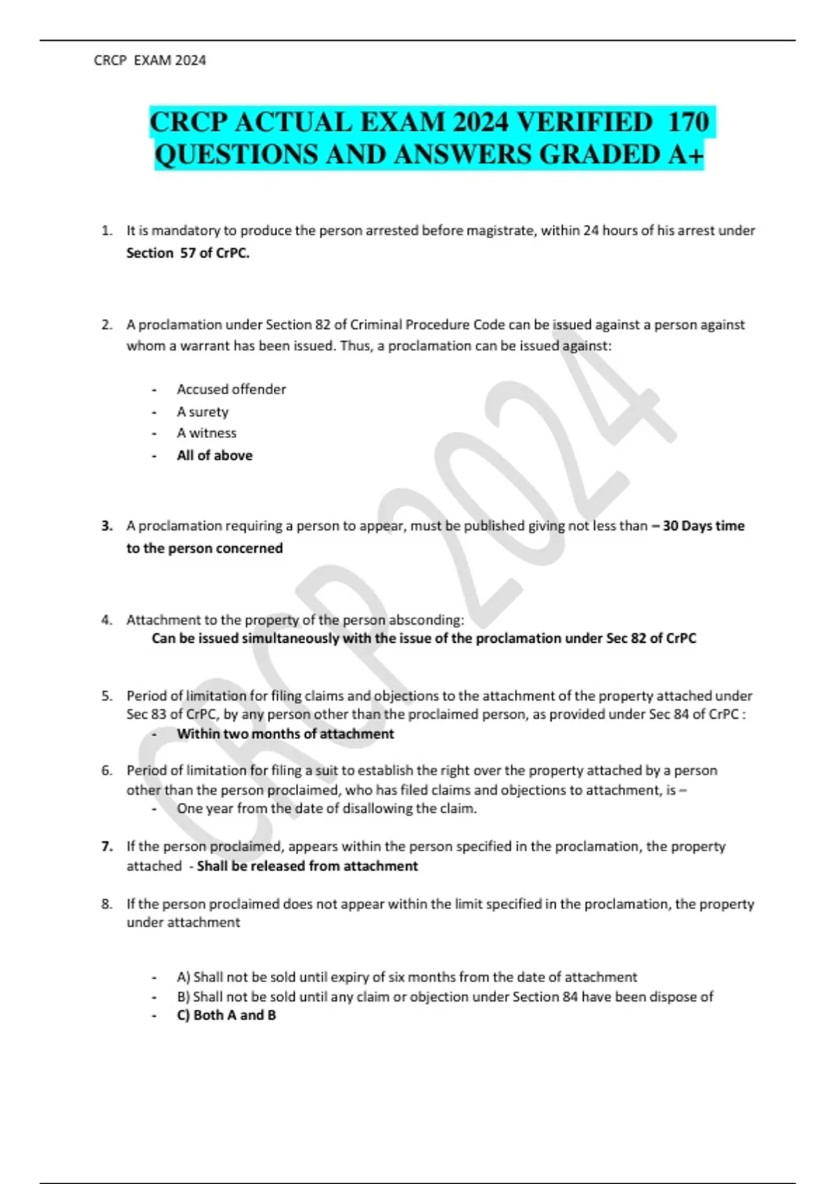
CRCP EXAM 2024



CRCP ACTUAL EXAM 2024 VERIFIED 170
QUESTIONS AND ANSWERS GRADED A+

1. It is mandatory to produce the person arrested before magistrate, within 24 hours of his arrest under
Section 57 of CrPC.



2. A proclamation under Section 82 of Criminal Procedure Code can be issued against a person against
whom a warrant has been issued. Thus, a proclamation can be issued against:

- Accused offender
- A surety
- A witness
- All of above



3. A proclamation requiring a person to appear, must be published giving not less than – 30 Days time
to the person concerned



4. Attachment to the property of the person absconding:
Can be issued simultaneously with the issue of the proclamation under Sec 82 of CrPC


5. Period of limitation for filing claims and objections to the attachment of the property attached under
Sec 83 of CrPC, by any person other than the proclaimed person, as provided under Sec 84 of CrPC :
- Within two months of attachment

6. Period of limitation for filing a suit to establish the right over the property attached by a person
other than the person proclaimed, who has filed claims and objections to attachment, is –
- One year from the date of disallowing the claim.

7. If the person proclaimed, appears within the person specified in the proclamation, the property
attached - Shall be released from attachment

8. If the person proclaimed does not appear within the limit specified in the proclamation, the property
under attachment


- A) Shall not be sold until expiry of six months from the date of attachment
- B) Shall not be sold until any claim or objection under Section 84 have been dispose of
- C) Both A and B

,CRCP EXAM 2024


9. A proclaimed person whose property has been attached can claim the property of the sale proceeds,
on appearance within –
- 2 years of attachment

10. An arrested person has a right to consult a legal practitioner of his choice. The consultation with
the lawyer –
a) May not be in presence of the police officer
b) May be in presence of police officer but not within his hearing
c) Both A & B

11. A search warrant is a written authority given to a police officer or any other person for the search of
any place – generally, as well as for specified things or documents.

12. The word ‘inspection’ used in Section 93 (1) (c) of Criminal Procedure Code , refers to –
- Locality and place


13. A search warrant can be issued in respect of a place –
a) Used for deposit and sale of stolen property
b) Used for deposit, sale and production of counterfeit coin, currency notes and stamps of stolen
property
c) Used for deposit, sale and production of forged documents and false seals
d) All of above

14. Under Sec 95 of CrPC, certain publications can be forfeited and search warrant can be issued for the
same. In this context, the provisions are –
B) A book can be forfeited and search warrant can be issued for the same
C) A document can be forfeited and search warrant can be issued for the same
D) Both B & C


15. Sec 87 of CrPC authorizes issuance of warrant:
a) In lieu of summons
b) In addition to summons
c) Both a & b

16. A declaration of forfeiture under Sec. 95 of CrPC can be set aside by - High Court

17. The period of limitation for an application to set aside the declaration of forfeiture has been
provided under Section 95,96,97,98
Ans- two months from the date of publication of declaration

18. During investigation, a search can be conducted without warrant by the – Investigation Officer
19. Search without warrant can be conducted under Sec 103 of CrPC
a) In the presence of the Magistrate who is competent to issue search warrant in respect of any
place

, CRCP EXAM 2024


20. Search warrant in respect of a place – Includes search of a person in or about that place, only if such
person is suspected of concealing about his person any article for which search is being made.

21. Joining of two or more independent and respectable inhabitants of the locality in which the place is
to be searched is the mandate under Sec – 100(4)


22. Where a magistrate, not empowered by the law to issue a search warrant for a place suspected to
contain stolen property, erroneously issues a search warrant –
a) The search proceedings shall be void and liable to set aside
b) The search proceedings shall be set aside only if challenged by any other person aggrieved by
the search.
c) Either A or B

23. Sec 93 (3) of CrPC code provides that no Magistrate other than a District magistrate of Chief Judicial
Magistrate shall issue warrant of search for a document, parcel or other thing in the custody of
postal and telegraph authority. If any magistrate not so specified issues such a warrant – The search
proceedings shall be void
24. In a non-cognizable case , when a Magistrate orders the police to investigate, in that case it will be at
par with the cognizable offence case and the police will have all the powers in respect of
investigation - Except the power to arrest without warrant

25. Sections 39 and 40 of CrPC make it mandatory to give information regarding commission of certain
offences. Such information can be given to – A police officer


26. Usually, a copy of FIR is filled with the magistrate having Jurisdiction to take cognizance, by the police
officer in compliance to - Section 157


27. Under Sec 159 of CrPC, a preliminary inquiry into the commission of offence can be conducted –
a) By the magistrate having jurisdiction to take cognizance
b) By any Magistrate subordinate to the Magistrate having jurisdiction, under the orders of such
Magistrate
c) Both (or Only) a & b
28. The powers under section159 of CrPC, can be exercised by Magistrate – When the police decides
not to investigate the case

29. Under Sec 161 of CrPC the investigating Police Officer has the power to examine orally any person
acquainted with the facts and circumstances of the case. The expression ‘any person acquainted
with the facts and circumstances of the case’
- Includes accused

30. A joint statement of several witnesses, recorded during the investigation – will neither render these
persons as incompetent witnesses, nor their evidence inadmissible

31. A statement of witness recorded under Section 161 of Criminal Procedure Code, in writing during
investigation and is signed by the person making the statement is hit by Section – 162(1)
$15.49
Accede al documento completo:

100% de satisfacción garantizada
Inmediatamente disponible después del pago
Tanto en línea como en PDF
No estas atado a nada

Conoce al vendedor
Seller avatar
StuviaBrainy

Conoce al vendedor

Seller avatar
StuviaBrainy West Virgina University
Ver perfil
Seguir Necesitas iniciar sesión para seguir a otros usuarios o asignaturas
Vendido
4609
Miembro desde
2 meses
Número de seguidores
0
Documentos
299
Última venta
1 día hace

0.0

0 reseñas

5
0
4
0
3
0
2
0
1
0

Recientemente visto por ti

Por qué los estudiantes eligen Stuvia

Creado por compañeros estudiantes, verificado por reseñas

Calidad en la que puedes confiar: escrito por estudiantes que aprobaron y evaluado por otros que han usado estos resúmenes.

¿No estás satisfecho? Elige otro documento

¡No te preocupes! Puedes elegir directamente otro documento que se ajuste mejor a lo que buscas.

Paga como quieras, empieza a estudiar al instante

Sin suscripción, sin compromisos. Paga como estés acostumbrado con tarjeta de crédito y descarga tu documento PDF inmediatamente.

Student with book image

“Comprado, descargado y aprobado. Así de fácil puede ser.”

Alisha Student

Preguntas frecuentes