100% Zufriedenheitsgarantie Sofort verfügbar nach Zahlung Sowohl online als auch als PDF Du bist an nichts gebunden 4.2 TrustPilot
logo-home
Prüfung

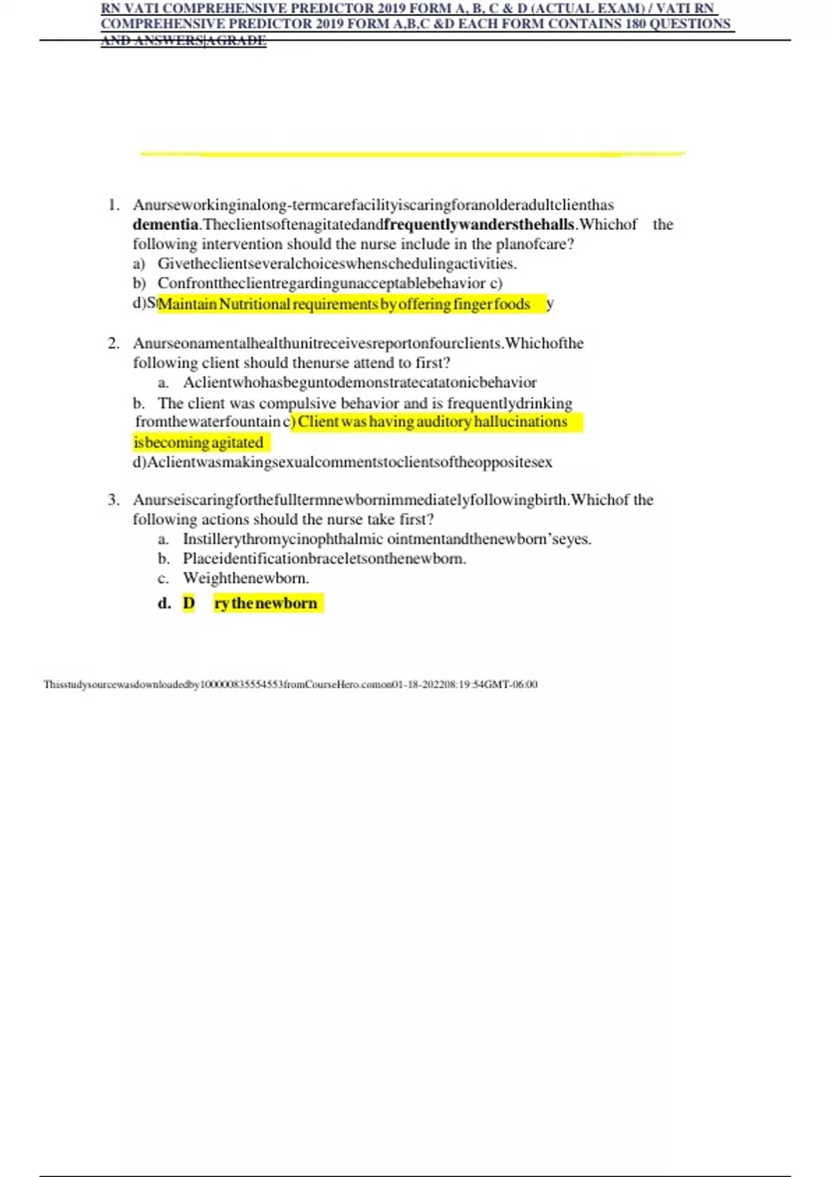
RN VATI COMPREHENSIVE PREDICTOR 2019 FORM A, B, C & D (ACTUAL EXAM) VATI RN COMPREHENSIVE PREDICTOR 2019 FORM A,B,C &D EACH FORM CONTAINS 180 QUESTIONS AND ANSWERS AGRADE

Bewertung
-
Verkauft
-
seiten
7
Klasse
A+
Hochgeladen auf
29-11-2023
geschrieben in
2023/2024

RN VATI COMPREHENSIVE PREDICTOR 2019 FORM A, B, C & D (ACTUAL EXAM) VATI RN COMPREHENSIVE PREDICTOR 2019 FORM A,B,C &D EACH FORM CONTAINS 180 QUESTIONS AND ANSWERS AGRADE

Hochschule
RN VATI COMPREHENSIVE PREDICTOR 2019 FORM A, B, C
Kurs
RN VATI COMPREHENSIVE PREDICTOR 2019 FORM A, B, C









Ups! Dein Dokument kann gerade nicht geladen werden. Versuch es erneut oder kontaktiere den Support.

Schule, Studium & Fach

Hochschule
RN VATI COMPREHENSIVE PREDICTOR 2019 FORM A, B, C
Kurs
RN VATI COMPREHENSIVE PREDICTOR 2019 FORM A, B, C

Dokument Information

Hochgeladen auf
29. november 2023
Anzahl der Seiten
7
geschrieben in
2023/2024
Typ
Prüfung
Enthält
Fragen & Antworten

Themen

9,65 €
Vollständigen Zugriff auf das Dokument erhalten:

100% Zufriedenheitsgarantie
Sofort verfügbar nach Zahlung
Sowohl online als auch als PDF
Du bist an nichts gebunden


Ebenfalls erhältlich im paket-deal

Lerne den Verkäufer kennen

Seller avatar
Bewertungen des Ansehens basieren auf der Anzahl der Dokumente, die ein Verkäufer gegen eine Gebühr verkauft hat, und den Bewertungen, die er für diese Dokumente erhalten hat. Es gibt drei Stufen: Bronze, Silber und Gold. Je besser das Ansehen eines Verkäufers ist, desto mehr kannst du dich auf die Qualität der Arbeiten verlassen.
LAWEXEPRT Universiteit van Amsterdam
Folgen Sie müssen sich einloggen, um Studenten oder Kursen zu folgen.
Verkauft
29
Mitglied seit
3 Jahren
Anzahl der Follower
16
Dokumente
940
Zuletzt verkauft
2 Jahren vor
LI prepare and sell top quality notes that are concise and easy to understand to LPC, LLM and LLB students. The LLB and LPC are difficult courses, not to mention the thousands of pages you need to read during your prep. I know how overwhelming it all can

I have done papers of various topics and complexities. I am punctual and always submit work on-deadline. I write engaging and informative content on all subjects. Send me your research papers, case studies, psychology papers, etc, and I’ll do them to the best of my abilities. Writing is my passion when it comes to academic work. I’ve got a good sense of structure and enjoy finding interesting ways to deliver information in any given paper. I love impressing clients with my work, and I am very punctual about deadlines. Send me your assignment and I’ll take it to the next level. I strive for my content to be of the highest quality. Your wishes come first— send me your requirements and I’ll make a piece of work with fresh ideas, consistent structure, and following the academic formatting rules.

Mehr lesen Weniger lesen
4,5

4 rezensionen

5
2
4
2
3
0
2
0
1
0

Kürzlich von dir angesehen.

Warum sich Studierende für Stuvia entscheiden

on Mitstudent*innen erstellt, durch Bewertungen verifiziert

Geschrieben von Student*innen, die bestanden haben und bewertet von anderen, die diese Studiendokumente verwendet haben.

Nicht zufrieden? Wähle ein anderes Dokument

Kein Problem! Du kannst direkt ein anderes Dokument wählen, das besser zu dem passt, was du suchst.

Bezahle wie du möchtest, fange sofort an zu lernen

Kein Abonnement, keine Verpflichtungen. Bezahle wie gewohnt per Kreditkarte oder Sofort und lade dein PDF-Dokument sofort herunter.

Student with book image

“Gekauft, heruntergeladen und bestanden. So einfach kann es sein.”

Alisha Student

Häufig gestellte Fragen